6÷2(1+2) “혹시 답 아시는분…”
6÷2(1+2) “혹시 답 아시는분…”
  • 심은선 기자
  • 입력 2012-06-22 16:51
  • 승인 2012.06.22 16:51
  • 댓글 0
이 기사를 공유합니다

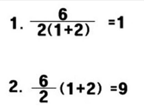
▲ 6÷2(1+2) <사진출처 = 온라인커뮤니티>

6÷2(1+2)이라는 문제가 네티즌을 혼란스럽게 만들었다.

최근 온라인 커뮤니티 게시판에는 6÷2(1+2)의 답에 관한 논란으로 뜨겁다.

6÷2(1+2)를 푸는 방식에 따라 답이 1또는 9가 돼 어떤 답이 맞는지에 관해 논란이 일고있는 것.

1번째 방식은 6÷2(1+2)의 공식에서 괄호안의 숫자를 먼저 계산해 정답은 1이 된다.

2번째 방식은 차례대로 계산해 9가 된다는 주장이다.

6÷2(1+2)계산법을 접한 네티즌들은 “헷갈리네”, “그래서 답이 뭔가요”, “갑자기 멘붕옴” 등 다양한 반응을 보이고 있다.

<심은선 기자>  ses@ilyoseoul.co.kr

심은선 기자 ses@ilyoseoul.co.kr


댓글삭제
삭제한 댓글은 다시 복구할 수 없습니다.
그래도 삭제하시겠습니까?
댓글 0
댓글쓰기
계정을 선택하시면 로그인·계정인증을 통해
댓글을 남기실 수 있습니다.